Seek help finding equation that can pin down Capital (K) in basic DSGE NK model please

Hi everyone,

I am developing a basic New Keynesian DSGE model with capital (K) on my own. However, I am missing an equation that pins down K, and I would like to ask for opinions on which equation might be missing.

Previously, I developed a similar DSGE model without K basicDSGE.mod (3.0 KB). Thanks to Professor Pfeifer, I found that my domestic bond is 0, and that the household budget constraint was redundant. Here is the link to that discussion: https://forum.dynare.org/t/seek-help-fixing-blanchard-and-kahn-condition-no-stable-equilibrium-please/28200

To extend the model by adding capital, I have introduced the following key elements: 1) Monopolistically competitive intermediate goods producers use both labor and capital in a standard Cobb–Douglas technology. 2) Intermediate goods producers purchase capital from capital producers. 3) Perfectly competitive capital producers purchase final goods and depreciated capital and transform them into new capital, subject to investment adjustment costs.

As a result, I have four additional variables relative to the earlier model: marginal cost (MC), investment (I), the price of capital (Qk), and capital (K). However, I can only identify 3 equations to pin them down:

  • Marginal cost equation → MC
  • Capital law of motion equation → I (I am not sure whether this equation should pin down K or I)
  • FOC of capital producers equation → Qk

Therefore, I am missing one equation to pin down K. I have tried reintroducing the household budget constraint, but I suspect it is still redundant, since it was not needed in the model without capital and thus should not be needed here either. Moreover, even when I include the budget constraint and the model runs, investment (I) becomes very close to zero, which I find unintuitive.

Could anyone please advise on how to resolve this issue? I have attached the model file below.

basicDSGE_Capital.mod (3.8 KB)

Best,

Korn

With a standard law of motion, there should be two first order conditions, one with respect to K_t and one with respect to I_t.

Thank you so much for your prompt response professor. I really appreciated. But I am still not quite sure which equation should I maximized with respect to K_t. So let me clarify more detail for the firm’s part in my model.

In the background, I have Monopolistically competitive intermediate goods producers solving standard 2-stage problems;
First-Stage cost minimization to get marginal cost equation:
image s.t. image
Second-Stage profit maximization to get NKPC equation:
image s.t. image

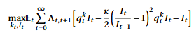
Then I include the Perfectly competitive capital producers, which I try to keep it standard as well. Regarding to your suggestion, are you saying that I should maximize their profit maximation problem w.r.t. K_t and I_t according to this equations? Or can you help me correct my understanding please?
image s.t. image

Korn

P.S. I’m sorry I cannot find a way to use mathjax or equivalent to make equations looks clean like you did in the post. So, I crop the equations and post it as a picture instead.