Hi everyone
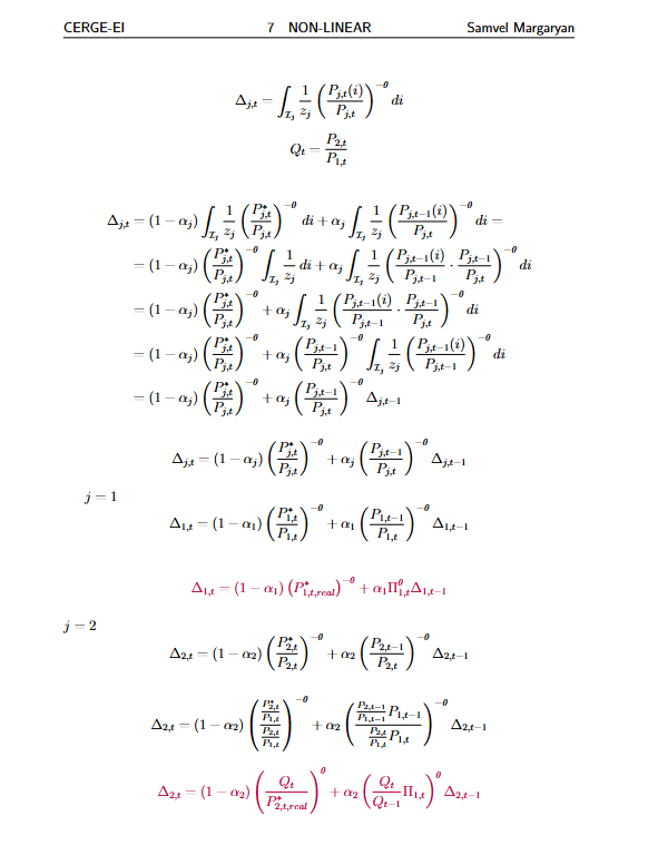
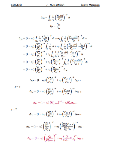
I am working with a TANK model and want to implement the non-linear equations in Dynare to perform welfare analysis. I need to incorporate sectoral price dispersion (I have two sectors, so j = 2). May I kindly ask for your advice on whether I can implement the price dispersion in Dynare using the highlighted equations (under a Calvo pricing setting)? I express the nominal variables in units of P_{1,t}. Thank you very much in advance.
